Web Analytics Made Easy - Statcounter
what purpose does a sloth serve Vc rebranding

what purpose does a sloth serve Vc rebranding

Video – how the 12 zodiac signs reveal your life's hidden purpose

If you are looking for Creating Better Schools by Design | Gesher School you've came to the right web. We have 35 Pictures about Creating Better Schools by Design | Gesher School like PPT - SLOTH PowerPoint Presentation, free download - ID:2312939, ⋆ DOES PAIN SERVE A PURPOSE? // FAB FRIDAY ⋆ Elvira V. Hopper and also How to Bring Purpose and Meaning into Goal Setting | LaptrinhX / News. Here you go:

Creating Better Schools By Design | Gesher School

Creating Better Schools by Design | Gesher School gesherschool.com

WALKING INTO GOD'S PURPOSE | WALKING INTO GOD'S PURPOSE Many Are Plans

WALKING INTO GOD'S PURPOSE | WALKING INTO GOD'S PURPOSE Many are plans www.facebook.com

Daily Dose – Cultivation(s)

Daily Dose – Cultivation(s) billdellecker.com

PPT - SLOTH PowerPoint Presentation, Free Download - ID:2312939

PPT - SLOTH PowerPoint Presentation, free download - ID:2312939 www.slideserve.com

sloth does ppt do powerpoint presentation sleeps slow eats basically nothing walk very

Political And Economic Systems Storyboard By 4dbbea4b

Political and Economic Systems Storyboard by 4dbbea4b www.storyboardthat.com

What Is A Currency Transaction Report?

What is a Currency Transaction Report? www.moderntreasury.com

"The Rise Of Her" - LA CEIBA

"The Rise of Her" - LA CEIBA www.laceibajournal.org

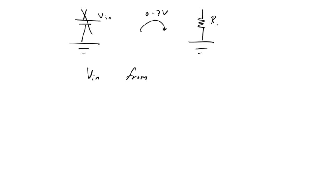
SOLVED: Consider The Following Circuit And Answer The Following

SOLVED: Consider the following circuit and answer the following www.numerade.com

What Does A Sloth Say? - One News Page VIDEO

What Does A Sloth Say? - One News Page VIDEO www.onenewspage.com

Business Planning Reading Questions And Answers

Business Planning Reading Questions and Answers www.ieltsachieve.com

Post Created By User_682621799988543412 | Tensor.Art

post created by user_682621799988543412 | Tensor.Art tensor.art

Business Mastery – Teen Coach Academy

Business Mastery – Teen Coach Academy teencoachacademy.com

Orden | Image Created By User_682621799988543412 | Tensor.Art

Orden | image created by user_682621799988543412 | Tensor.Art tensor.art

Pass 1000 - Scavenger Hunt - Browsegrades

Pass 1000 - Scavenger Hunt - Browsegrades browsegrades.net

How To Find And Nurture Your People: The Potential Code | Korn Ferry

How to find and nurture your people: The Potential Code | Korn Ferry www.linkedin.com

Metatron's Cube Meaning - Sacred Geometry - JekaArt - JekaArt

Metatron's Cube Meaning - Sacred Geometry - JekaArt - JekaArt jekaart.com

Guitar Neck Binding – Advantages, Drawbacks, And More - Guitar Symphony

Guitar Neck Binding – Advantages, Drawbacks, And More - Guitar Symphony guitarsymphony.com

Media Literacy And Your Girl’s Understanding – American Heritage Girls

Media Literacy and Your Girl’s Understanding – American Heritage Girls americanheritagegirls.org

CHA-CHING CHECKLIST - Marketing, Messaging & Strategy

CHA-CHING CHECKLIST - Marketing, Messaging & Strategy trailblazingbranding.com

What Does A Sloth Say - One News Page VIDEO

What Does A Sloth Say - One News Page VIDEO www.onenewspage.com

A Women Who Walks In PURPOSE Does Not Have To Chase People Or

A women who walks in PURPOSE does not have to chase people or www.pinterest.com

The Burkholder Advantage - Burkholder Manufacturing

The Burkholder Advantage - Burkholder Manufacturing burkholdertrailers.com

Evil Lives Here: Shadows Of Death - Do No Harm | Evil Lives Here

Evil Lives Here: Shadows of Death - Do No Harm | Evil Lives Here www.facebook.com

Will The Latest Sloth Bear Corridor In Mount Abu Serve Its Purpose?

Will the latest sloth bear corridor in Mount Abu serve its purpose? india.mongabay.com

bear sloth abu mount

How To Bring Purpose And Meaning Into Goal Setting | LaptrinhX / News

How to Bring Purpose and Meaning into Goal Setting | LaptrinhX / News laptrinhx.com

Orden | Image Created By User_682621799988543412 | Tensor.Art

Orden | image created by user_682621799988543412 | Tensor.Art tensor.art

Video – How The 12 Zodiac Signs Reveal Your Life's Hidden Purpose

Video – How the 12 Zodiac Signs Reveal Your Life's Hidden Purpose www.ohotto.com

What Is Lunk Alarm At Planet Fitness? – Fitness97

What is Lunk Alarm at Planet Fitness? – Fitness97 fitness97.com

Three Phase 220/240 V Water Pump Control Panels At Rs 10000 In

Three Phase 220/240 V Water Pump Control Panels at Rs 10000 in www.indiamart.com

VC Rebranding - Articles & Biography | Entrepreneur

VC rebranding - Articles & Biography | Entrepreneur www.entrepreneur.com

⋆ DOES PAIN SERVE A PURPOSE? // FAB FRIDAY ⋆ Elvira V. Hopper

⋆ DOES PAIN SERVE A PURPOSE? // FAB FRIDAY ⋆ Elvira V. Hopper elvirahopper.com

Will The Latest Sloth Bear Corridor In Mount Abu Serve Its Purpose?

Will the latest sloth bear corridor in Mount Abu serve its purpose? india.mongabay.com

abu mount zone sloth serve purpose corridor bear latest its will sanctuary wildlife notification government yellow around map

October 20th International Sloth Day – Unboxing The Bizarre™

October 20th International Sloth Day – Unboxing the Bizarre™ unboxingthebizarre.wordpress.com

sloth 20th

Infintor Solutions: Digital Transformation Experts | Infintor Solutions

Infintor Solutions: Digital Transformation Experts | Infintor Solutions www.infintor.com

Why Does My Sushi Come With Pickled Ginger?

Why Does My Sushi Come with Pickled Ginger? happyspicyhour.com

Abu mount zone sloth serve purpose corridor bear latest its will sanctuary wildlife notification government yellow around map. Media literacy and your girl’s understanding – american heritage girls. Walking into god's purpose